![]() |
| Source: http://www.chriswolf.com/images/vdappliance.jpg |
Note: If images don’t appear below, please feel free to view this via EverNote. I have tried to correct the links and the images should appear. Thanks to Josh (comments) for noticing this!
Don Hindsley (catch him on Google+), a technology director about to retire in Texas schools, recently shared his response to the following question:
We’re ready to try our hand at desktop virtualization and would appreciate your advice on how to achieve the greatest results with minimum expense. VMWare?
Below, you’ll find his detailed response…thanks, Don!
In the summer of 2006, we installed a Citrix server farm that permitted us to virtualize the desktops for all of our students. They could access their virtual desktop anywhere here at school and also from home via the school website. It was great because if their computer (school or home) quit on them for any reason, they could just log onto any one nearby and pick up right where they were. No lost work, if they hadn’t saved lately.
Second huge advantage: we only had five installs of any new software or upgrade.
And third: we could easily show licensing compliance, because Citrix listed individuals and groups that had been given rights/access to the software.
Here is our total cost in 2006:
We purchased five Dell PowerEdge 2850’s w/ 4 GB-RAM and this set-up worked great for four years. Fall of 2010, we began to see a serious slowdown of the server farm because usage had grown beyond the number of simultaneous users we had planned for (150 max).
We had to research and decide whether the 1) Replace 2)increase capacity, or 3) add another system and split users into two groups.
We chose to install and run alongside the Citrix system a VMware setup (w/ View) because the product seemed to have made strides past where Citrix was then, AND we wanted to have both systems for our own learning and experience.
This past summer (2011), we installed a full Cisco blade server (8-quadcore CPU’s, 384 GB-RAM) and two ½ blades. Also VMware vSphere Enterprise Plus, w/ View.
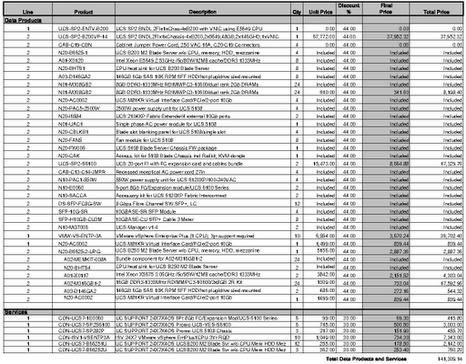
Product list and costs are below:
It took us about three ½ months to feel that we had it all running consistently the way we wanted. We gor a late start because of the timimg of school budgets (We wish we could have started in June because then we would have been nearly ready for the start of school. As it turned out, administrative snafus with the budgeting delayed so the we started the installation at the beginnijng of August and were not ready to “turn it on” until Thanksgiving. The last entry for $25,000 (Professional Services) was assisting us, in person or on the telephone, in the configuration.
So now we have the students on Citrix (150 simultaneously with great speed) and 100 seats for faulty and staff on VMware.
Both system have their strong points. Right now, we really like the VMware the best. This spring, I am taking the Citrix servers dowm, on at a time, and re-installing the OS (server 2008 this time) then the latest Citrix software, etc. . . for students (and the IT staff) to experience the best of that, too. I think we’ll like Citrix better once we upgrade to a newer version.
DON’T SKIMP ON HARDWARE (you’ll be sorry with performance), and we’re glad we got View with the VMware.
Discover more from Another Think Coming
Subscribe to get the latest posts sent to your email.





Miguel, I think something is up with the images on this post.
Hello, Emily again, from EDM310.I've never heard of Desktop Virtualization before, but it seems really useful. Though I don't understand a lot of the technical terms mentioned, I think it's really interesting to read one person's take on the advance in technology they've made with the Desktop Virtualization. What do you think, though? Do the advantages of this system make up for the expense of buying and upgrading when the user-limit has been reached or better technology comes along? Since I don't really know how much money school systems are allotted for certain things, I can't really tell if the amount spent is considered expensive or not.